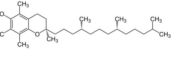
Le β-tocophérol est l'une des huit formes naturelles de vitamine E.

Notes et références

  • Portail de la chimie

Tocopherol

Beta Tocopherol Facts Nutrition

Betoptic S Single Dose Augentropfen 60x 0.25ml in der Adler Apotheke

[CHÍNH HÃNG] Thuốc Betophyl bổ sung Vitamin E và Betacaroten

Tocopherol AOT